
琴弦的振动是怎样的形式?声音在空气中的传播速度如何计算?太阳的寿命大约还剩50亿年?4月8日,《张朝阳的物理课》线下第二课开讲,搜狐创始人、董事局主席兼CEO张朝阳与来自北京各高校的物理学子及物理学爱好者们一起探讨物理的奥秘。课堂上,他陆续讲解了经典波动方程的推导与声速的计算,之后又与现场同学交流探讨了太阳内部的核反应、太阳寿命的估算,以及宇宙大爆炸理论的两个实验证据等物理问题。
推导经典波动方程,从琴弦振动开始
本节线下课,张朝阳先介绍了琴弦振动方程的推导。以琴弦初始位置建立x轴,弦的振动方向为u轴。采用平面运动模型并假设琴弦只能沿一个方向振动,这样就把三维问题简化成了二维问题。弦在某一时刻的位置用u(x,t)描述,它表示弦对平衡位置的偏离。
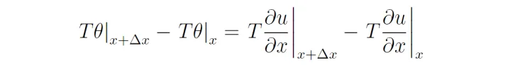
在课程中,假设弦的振动比较微小,u(x,t)对x的偏导数远远小于1。假设琴弦在初始位置的质量线密度为μ,考虑在区间(x,x+Δx)上琴弦的微元的运动。忽略重力,那么这部分微元只受到弦自身张力的作用。
推导过程中,暂且假设弦的张力T处处相等。需要说明的是,因为弦只沿u方向振动,不沿x方向运动,所以微元受到的x方向的合力为零,于是张力在x轴上的分量Tx处处相等,而u方向的张力Tu不是处处相等的,从而T实际上不是处处相等的。不过,因为接下来的推导需要的是Tu,当u(x,t)对x的偏导数远远小于1时,无论使用T还是Tx来估算Tu,最低阶近似都是一样的,所以可以假设T为常数。而当u(x,t)对x的偏导数不是小量时,则须使用Tx为常数来推导,此时依然能得到严格的波动方程。
由于u(x,t)对x的偏导数远远小于1,于是弦的切线倾角θ非常小,所以Tu约等于T乘以θ,而θ可以用u(x,t)对x的偏导数来近似,于是微元受到的u方向的合力为:
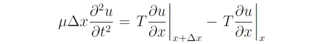
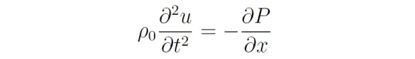
利用牛顿第二定律,可得:
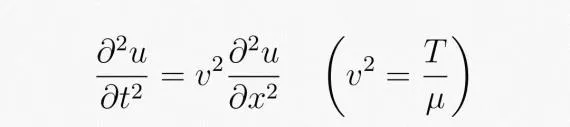
根据假设,T为常数,不依赖于x,对等式右边的偏导数做关于x的泰勒展开,并在消去一个Δx后让Δx趋向于0,最后得到:
这就是琴弦的波动方程。由于时间关系,对于这个经典的微分方程,现场并未对其求解过程进行详细计算。张朝阳直接写出其通解的大致形式:
随后,他对这个通解作了进一步解释。以其中的g(x-vt)为例,假如函数g(x)的最大值点在x0处,那么在t时刻,g(x-vt)的最大值点在x-vt=x0处,也就是x=x0+vt处,即最大值点在以速度v向右运动。换言之,g(x-vt)表示向右以速度v传播的波。同理,f(x+vt)表示以速度v向左传播的波。经过这一番解释,波动方程中v的物理含义就清晰了,它代表波的传播速度。
在这个例子的最后,他还简短地讨论了两端固定的琴弦的波动方程。它本质上是一个边值问题,需要利用傅里叶级数展开的方法来求解,展开的每一项都是满足边界条件的一个模式。
推导空气中声音的波动方程:纵波与密度波
在声波方程的推导中,为了突出基本原理而避免陷入太琐碎的数学细节,本次课程只考虑了一维的情形,并且作了和琴弦类似的假设:静态时处于x位置的空气质点在声音过来时的位置偏移u(x,t)比较小,并且对空间坐标x的偏导数远小于1。
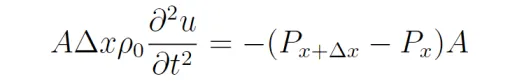
张朝阳介绍,声波是密度波,是一种纵波,质点的振动方向与传播方向平行,因此不像琴弦振动那样直观。不过,声波方程在数学推导上与琴弦的波动方程是比较类似的。考虑空气在(x,x+Δx)的“窄片”,“窄片”截面积是A,厚度为Δx。在水平方向上,“窄片”只受到气体的压力,根据牛顿第二运动定律可以得到:
将上式两端的A消掉,并且将P对x做泰勒展开,消掉Δx并忽略高阶项可以得到:
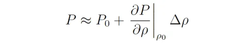
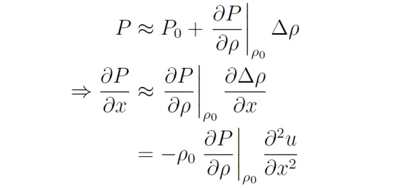
“是什么引起了压强的改变呢?答案是密度的改变。”因此,张朝阳转而考虑P 对密度ρ的依赖关系。假设没有声波时空气压强是P0,密度是ρ0,那么
看到这里大家可能会疑问,这里P对密度的偏导数的准确定义是什么?根据理想气体物态方程,描述理想气体的状态需要两个物理量,而这两个量的选取具有任意性,因此必须明确这里P对ρ的偏导数是在保持哪个物理量不变的情况下的偏导数。对于这个问题,张朝阳后续又进行详细的解答。
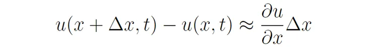
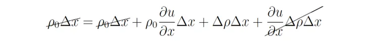
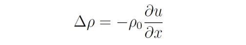
接下来,开始推导Δρ和u的关系。考虑静态时处于(x,x+Δx)的空气“窄片”,横截面积为A,声波过来时,“窄片”两个截面的偏移分别是u(x,t)和u(x+Δx,t),偏移后的“窄片”质量不变,因此
截面积可以消掉。考虑u(x+Δx,t)的泰勒展开,有
代入前一个式子(消掉A),并展开可以得到
式中的删除线表示可以消掉或者忽略掉。左边的项和右边第一项互相抵消,由于u对x的偏导远小于1,右边最后一项远小于其他项,因此可以忽略,于是:
根据前面推导的结果,有:
代入前面得到的关于u的方程,就得到了声音在空气中的波动方程:
声速计算要考虑绝热近似,牛顿曾经在这里栽过跟头
得到波动方程之后,张朝阳开始解释如何理解其中P对ρ的偏导数。首先,相对于声波导致的快速压缩和膨胀,空气的热传导过程是非常缓慢的。在空气的一个振动周期里,热的传导几乎可以忽略,因此可以把空气振动导致的压缩和膨胀看成是绝热过程,这就是绝热近似。
张朝阳介绍,牛顿曾经在这里栽过跟头。牛顿当时也得到了声波的波动方程,只不过因为对声音导致的空气压缩膨胀过程认识不足,错误地以为是等温过程。回到正题,在绝热近似下,波动方程中P对ρ的偏导数应该理解为绝热条件下的偏导数。
他进一步解释说,因为这里考虑的声音振幅很小,相对于空气的振动来说,空气微元内恢复平衡的速度非常快,因此可以假设在空间的每一处空气都满足理想气体状态方程。这个近似就是准静态近似。正因为这个近似,这里对声速的推导将不适用于特别稀薄的空气。
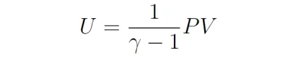
在准静态近似下,可以使用理想气体的平衡态性质进行推导。这样就有:
其中U是空气内能,因子5/2来自于能量均分定理。能量均分定理,每个自由度贡献NkT/2的内能,空气中大部分是氮气和氧气,都是双原子分子,具有3个平动自由度和2个转动自由度。在室温下,振动自由度没有被激发。所以一共是5个自由度,故因子为5/2。定义γ使得γ-1=2/5。在这里,γ=7/5=1.4。于是
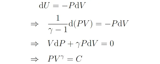
根据热力学第一定律
在绝热过程中有:
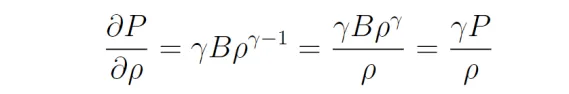
其中C为常数。由于密度和体积呈反比关系,所以P正比于ρ^γ,设比例常数为B,于是在绝热过程下
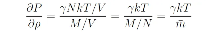
代入理想气体物态方程可得:
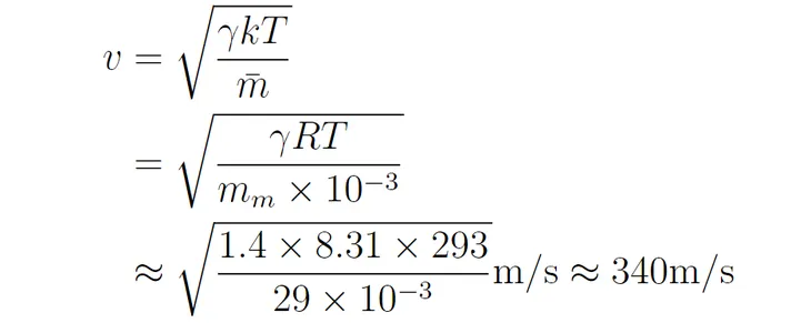
其中m上加一横表示空气的平均分子质量。所以,空气中声波的波动方程为:
在室温20℃,即约293 K,相应的声速为
其中m_m表示空气以g为单位的摩尔质量。这个数值结果与实验测得的声速非常接近。另外,还可以知道声速只与温度有关,而与声音的频率无关。
“这是一个令人震撼的结果。”张朝阳说,波动方程的出发点仅仅是牛顿第二运动定律,再考虑理想气体物态方程,就可以得到与实验值非常接近的计算值,不得不说计算的力量是强大的。
解释太阳能量源于核聚变,估算太阳寿命约为百亿年
在课程后半段的互动环节,有同学提问关于太阳寿命的问题,于是张朝阳对太阳的能量来源以及如何估算太阳寿命进行了解答。
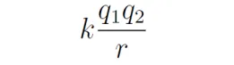
他介绍,太阳内部有一个核心,太阳大部分的质量都集中在核心。核心内部温度非常高,约为1000万开尔文。太阳的能量来源是核心处的核聚变,比如氢聚变成氦。由于氢核带正电,氢核之间存在库仑排斥力,因此存在势垒。但是强相互作用会使得氢核在靠得特别近时会释放能量形成新的原子核,也就是说在库仑势垒之内有一个深势阱。要想发生核聚变,氢核必须突破库仑势垒。静电势大小为
以原子核半径的量级10^(-15)m来估算库仑势垒高度,得到结果约为10^(-13)焦耳。再根据太阳的内核温度,利用kT可以估算内核粒子动能的量级为10^(-16)焦耳,这两个能量差了3个量级。
如果仅仅如此粗略地看,核聚变似乎不会发生。那为什么核聚变还是真实地发生了呢?可以从两个角度来理解:第一个角度是从经典的麦克斯韦速度分布出发,虽然内核粒子的平均动能突破不了库仑势垒,但是麦克斯韦速度分布允许更高动能粒子的存在,从而提供了穿越库仑势垒的可能;另一个角度是从量子隧穿出发,虽然根据经典力学,粒子无法穿过势垒,但是量子力学的隧穿效应保证了粒子实际上存在一定概率穿过库仑势垒。这就是对于为什么能发生核聚变的定性分析。
知道了太阳的能量来源,就可以估算太阳的寿命了。在太阳内部主要发生的是氢核聚变成氦核,只考虑最初和最末状态的话,就是四个氢核变成一个氦核,释放的能量为ΔE=Δmc^2。于是,通过“质量亏损”可以计算得到:聚变产生一个氦核释放的能量为0.4×10^(-11)焦耳。
假设太阳最初全部由氢构成,那么可以根据太阳质量估算出有多少氢核。但是,不是所有氢都能聚变成氦,张朝阳在课上假设能变成氦的氢占比10%,那么可以估算出太阳可以释放的能量为0.12×10^(45)焦耳。最后,再假设在太阳整个生命周期里表面温度近似不变,于是太阳将以恒定的温度以黑体辐射的形式向外辐射能量,这样就可以得到太阳寿命为
代入数值,并转化为以年为单位,可以得到太阳寿命约为100亿年。目前太阳已经燃烧了50亿年,剩余寿命大约还剩50亿年。在太阳的末期,太阳将会膨胀成为红巨星,会把周围的很多行星甚至可能包括地球都吞噬掉。
宇宙大爆炸理论的两个证据:哈勃红移和微波背景辐射
对于现场同学们感兴趣的宇宙大爆炸问题,张朝阳介绍了支持宇宙大爆炸理论的两个观测证据,分别是哈勃红移和微波背景辐射。
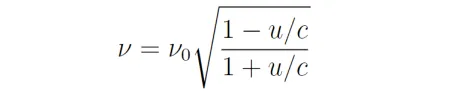
根据光的多普勒效应,以速度u远离地球而去的恒星,其光谱会发生偏移。(u<0表示恒星向我们靠近),从这个恒星上发出频率为ν0的光,而被地球接收到的频率为

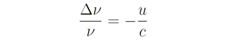
假如u远小于光速c,那么进行泰勒展开并忽略高阶项,可以得到频率改变量Δν=ν-ν0满足

相应的波长变化量是

于是利用这个公式,根据恒星的光谱移动,就可以计算出恒星远离地球的速度。哈勃当年观测了很多恒星的频移,发现绝大部分都是红移,而且恒星远离地球的速度与恒星相对地球的距离成正比。尽管哈勃发现宇宙膨胀在先、大爆炸理论提出在后,然而从逻辑上来看,哈勃红移是大爆炸理论的一个结果,因此可以作为大爆炸理论的一个实验证据。
根据大爆炸的理论模型,宇宙从最初的极高温,经过膨胀而不断冷却,最后变成了现在这个样子。期间,物质的形成也是由宇宙温度降低所导致的。当宇宙温度降低时,夸克这些粒子会禁闭成重子。大部分重子是不稳定的,最后会变成质子和中子。中子寿命比较长,会衰变成质子和电子,外加一个反中微子。
不过这个过程是可逆的,最终会形成平衡,导致有一个不为零的中子丰度。当温度继续降低,直到光子能量不足以打破原子核时,这些中子、质子将会通过核聚变成为稳定的原子核,这个过程被称为“原初核合成”。但是因为温度依然很高,物质以离子形态存在,光子和这些带电粒子存在相互作用,从而导致宇宙是“不透明”的。
到了大约38万年的时候,温度已经进一步下降,电子与原子核开始结合成原子,并会释放出光子,这时候宇宙中的粒子大部分都是电中性的了,光子可以在宇宙中几乎畅通无阻。这个时期就是光退耦时期,光子不再与物质有大量的热交换,而主要以黑体辐射的形式存在,随着宇宙膨胀其温度不断下降。直到今天,这部分光子,也就是目前所说的微波背景辐射,对应的等效黑体温度大约为2.7开尔文。
介绍完黑体辐射的形成,张朝阳还根据黑体辐射的性质计算了微波背景辐射的峰值频率,约为168 GHz。与哈勃红移一样,微波背景辐射的发现也比大爆炸的理论提出要早,不过同样可以将微波背景辐射看作是大爆炸理论的实验证据。
据了解,《张朝阳的物理课》于每周周五、周日12时在搜狐视频直播,网友可以在搜狐视频“关注流”中搜索“张朝阳”,观看直播及往期完整视频回放。