
3月16日,百度正式发布文心大模型4.5及文心大模型X1,在文心一言官网即可免费使用。据介绍,文心大模型4.5是百度首个原生多模态大模型,其多模态理解、文本和逻辑推理能力显著提升,在多项测试中表现优于GPT4.5,API调用价格仅为GPT4.5的1%;文心大模型X1为深度思考模型,性能对标DeepSeek-R1,调用价格约为R1的一半。
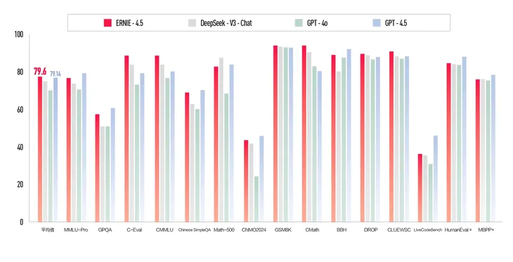
作为百度新一代基座大模型,文心大模型4.5的多项基准测试成绩优于GPT4.5、DeepSeek-V3等,并在平均分上以79.6分高于GPT4.5的79.14。据介绍,文心大模型4.5在多模态理解能力上显著提升,不仅有图形推理、图表分析的“高智商”,还具备理解梗图、漫画、歌曲、电影等多模态内容的“高情商”。
文心大模型X1为深度思考模型,不仅在性能上对标DeepSeek-R1,具备“长思维链”,擅长中文知识问答、文学创作、逻辑推理等,而且增加了多模态能力和多工具调用,能理解和生成图片,还能调用工具生成代码、图表等丰富内容。
据介绍,文心大模型X1运用了递进式强化学习、基于思维链和行动链的端到端训练、多元统一的奖励系统等关键技术,并通过飞桨与文心的联合优化,实现从压缩、推理、服务部署的全链路极致调优,大幅降低推理成本。
目前,两款模型均已在文心一言官网上线,用户登录即可免费体验。同时,企业及开发者可在百度智能云千帆大模型平台调用新模型,文心大模型4.5已同步上线,输入价格为0.004元/千tokens,输出0.016元/千tokens,约为GPT4.5价格的1%;文心大模型X1定价为输入0.002元/千tokens,输出0.008元/千tokens,即将在千帆平台上线。

此前,百度曾宣布文心一言将于4月1日免费,本次发布不仅带来两款全新大模型,且将免费时间提前,全面提升了用户体验。近期,百度在AI大模型方面动作频频,依此前预告显示,百度将在6月30日正式将文心大模型开源,并在今年下半年发布文心大模型5.0。
